Analyse descriptive univariée avec R sur les données de {palmerpenguins}

twitch
Rnewbies
analyse de données
statistiques
Author

Marie Vaugoyeau

Published

27 June 2023

Note

Twitch du 27 juin 2023.

Code disponible sur GitHub.

Le pipe

Lors des Rencontres R 2023 à Avignon, j’ai parlé du pipe pendant ma présentation.
Suite aux discussions que j’ai eu dessus après, je préfère détailler à nouveau ici le pipe %>% du package {margittr} et le pipe natif |> maintenant présent dans le package {base} (pour les versions de R > 4.1).

# sans pipe
mean(sqrt(c(1:10)*3))
[1] 3.89162
# avec pipe
c(1:10)*3 |> 
  sqrt() |> 
  mean()
 [1]  1.732051  3.464102  5.196152  6.928203  8.660254 10.392305 12.124356
 [8] 13.856406 15.588457 17.320508
# attention à l'utilisation des parenthèses
(c(1:10)*3) |> 
  sqrt() |> 
  mean()
[1] 3.89162
Note

Ici cela fonctionne sans charger de package car j’utilise le pipe natif |>.

Cette option est modifiable dans Tools > Global Options > Code > Editing

Si l’option pipe natif est décroché, le raccourci clavier Ctrl + Maj + M donne le pipe de {magrittr} mais ne permet pas de l’utiliser sans charger le package !

Caution

Lors du chargement de {tidyverse} le pipe de {magrittr} est automatiquement chargé.

(c(1:10)*3) %>% 
  sqrt() %>% 
  mean()
Error in (c(1:10) * 3) %>% sqrt() %>% mean(): impossible de trouver la fonction "%>%"
library(magrittr)
(c(1:10)*3) %>% 
  sqrt() %>% 
  mean()
[1] 3.89162

Pour choisir lequel utiliser, il faut savoir que |> est plus rapide que %>% mais implique d’utiliser une version de R postérieure à 4.1.

Les données

Utilisation du jeu de données penguins du package {palmerpenguins} qui recense les caractéristiques des pingouins de l’archipel de Palmer.
Plus d’informations sur ce jeu de données dans la page d’aide help(penguins).

Visualisation rapide des données

Avec la fonction très généraliste plot() chargée de base dans l’environnement.

library(palmerpenguins)

penguins
# A tibble: 344 × 8
   species island    bill_length_mm bill_depth_mm flipper_length_mm body_mass_g
   <fct>   <fct>              <dbl>         <dbl>             <int>       <int>
 1 Adelie  Torgersen           39.1          18.7               181        3750
 2 Adelie  Torgersen           39.5          17.4               186        3800
 3 Adelie  Torgersen           40.3          18                 195        3250
 4 Adelie  Torgersen           NA            NA                  NA          NA
 5 Adelie  Torgersen           36.7          19.3               193        3450
 6 Adelie  Torgersen           39.3          20.6               190        3650
 7 Adelie  Torgersen           38.9          17.8               181        3625
 8 Adelie  Torgersen           39.2          19.6               195        4675
 9 Adelie  Torgersen           34.1          18.1               193        3475
10 Adelie  Torgersen           42            20.2               190        4250
# ℹ 334 more rows
# ℹ 2 more variables: sex <fct>, year <int>
View(penguins)

plot(penguins)

Pour avoir un apercu des données il est intéressant d’utiliser la fonction summary() présent dans le package {base}.

summary(penguins)
      species          island    bill_length_mm  bill_depth_mm  
 Adelie   :152   Biscoe   :168   Min.   :32.10   Min.   :13.10  
 Chinstrap: 68   Dream    :124   1st Qu.:39.23   1st Qu.:15.60  
 Gentoo   :124   Torgersen: 52   Median :44.45   Median :17.30  
                                 Mean   :43.92   Mean   :17.15  
                                 3rd Qu.:48.50   3rd Qu.:18.70  
                                 Max.   :59.60   Max.   :21.50  
                                 NA's   :2       NA's   :2      
 flipper_length_mm  body_mass_g       sex           year     
 Min.   :172.0     Min.   :2700   female:165   Min.   :2007  
 1st Qu.:190.0     1st Qu.:3550   male  :168   1st Qu.:2007  
 Median :197.0     Median :4050   NA's  : 11   Median :2008  
 Mean   :200.9     Mean   :4202                Mean   :2008  
 3rd Qu.:213.0     3rd Qu.:4750                3rd Qu.:2009  
 Max.   :231.0     Max.   :6300                Max.   :2009  
 NA's   :2         NA's   :2                                 

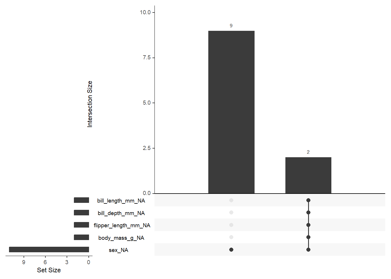
Il y a des valeurs manquantes, il faut donc les visualiser.
{naniar} est un package très performant pour travailler sur les données manquantes.

naniar::gg_miss_upset(penguins)

Pour visualiser différemment le tableau de données, il est possible d’utiliser la fonction glimpse() du {tidyverse}.

library(tidyverse)

glimpse(penguins)
Rows: 344
Columns: 8
$ species           <fct> Adelie, Adelie, Adelie, Adelie, Adelie, Adelie, Adel…
$ island            <fct> Torgersen, Torgersen, Torgersen, Torgersen, Torgerse…
$ bill_length_mm    <dbl> 39.1, 39.5, 40.3, NA, 36.7, 39.3, 38.9, 39.2, 34.1, …
$ bill_depth_mm     <dbl> 18.7, 17.4, 18.0, NA, 19.3, 20.6, 17.8, 19.6, 18.1, …
$ flipper_length_mm <int> 181, 186, 195, NA, 193, 190, 181, 195, 193, 190, 186…
$ body_mass_g       <int> 3750, 3800, 3250, NA, 3450, 3650, 3625, 4675, 3475, …
$ sex               <fct> male, female, female, NA, female, male, female, male…
$ year              <int> 2007, 2007, 2007, 2007, 2007, 2007, 2007, 2007, 2007…
Caution

Le chargement de certain package remplace des fonctions déjà chargées par celles chargée en dernière.
Par exemple, le chargement du package {tidyverse} ou {dplyr} remplace la fonction filter() du package {stat} par la sienne.

Analyse univariée

Variable qualitative

Il y a trois variables qualitatives ici : species, island et sex.
Toutes les trois sont finis -> donc on peut réaliser directement des tableaux de contingence.

Tableau de contingence

# fonction `table()` du package `{base}`
table(penguins$species)

   Adelie Chinstrap    Gentoo 
      152        68       124 
table(penguins$island)

   Biscoe     Dream Torgersen 
      168       124        52 
table(penguins$sex)

female   male 
   165    168 
# ne permet pas de voir les NA !

# fonction `count()` du package `{dplyr}`
count(penguins, sex)
# A tibble: 3 × 2
  sex        n
  <fct>  <int>
1 female   165
2 male     168
3 <NA>      11
Caution

Il vaut mieux utiliser count() de {dplyr} pour réaliser les tableaux de contingence car il permet de voir les valeurs manquantes (NA).

Représentation graphique

Ressource conseillée pour la réalisation de graphiques : From Data to Viz.

# diagramme en barres
penguins |> 
  ggplot() +
  aes(x = island) +
  geom_bar() +
  theme_bw()

# diagramme en barres colorées par l'espèces
penguins |> 
  ggplot() +
  aes(x = island, fill = species) +
  geom_bar() +
  theme_bw()

# diagramme circulaire
penguins |> 
  count(sex) |> 
  ggplot() +
  aes(x = "", y = n, fill = sex) +
  geom_bar(stat = "identity") +
  coord_polar("y") +
  theme_void()

# adapter la couleur
couleur <- c("female" = "yellow", "male" = "blue")

# changer la couleur d'un graphique
penguins |> 
  count(sex) |> 
  ggplot() +
  aes(x = "", y = n, fill = sex) +
  geom_bar(stat = "identity") +
  coord_polar("y") +
  scale_fill_manual(values = couleur) +
  theme_void()

Variable quantitative

Il y a 5 variables quantitatives, il est possible d’étudier leurs dispersion grâce aux histogrammes ou de calculer les mesures de cette dispersion.

Note

L’une des variables est l’année.

Histogramme

Caution

Attention au nombre d’intervalles représenté.

penguins |>
  ggplot() +
  aes(x = bill_length_mm) +
  geom_histogram() +
  theme_classic()

# changement nombre d'intervalles (10)
penguins |>
  ggplot() +
  aes(x = bill_length_mm) +
  geom_histogram(bins = 10) +
  theme_classic()

# largeur de la barre
penguins |>
  ggplot() +
  aes(x = bill_length_mm) +
  geom_histogram(binwidth = 10) +
  theme_classic()

Calcul des mesures de dispersion

summary(penguins)
      species          island    bill_length_mm  bill_depth_mm  
 Adelie   :152   Biscoe   :168   Min.   :32.10   Min.   :13.10  
 Chinstrap: 68   Dream    :124   1st Qu.:39.23   1st Qu.:15.60  
 Gentoo   :124   Torgersen: 52   Median :44.45   Median :17.30  
                                 Mean   :43.92   Mean   :17.15  
                                 3rd Qu.:48.50   3rd Qu.:18.70  
                                 Max.   :59.60   Max.   :21.50  
                                 NA's   :2       NA's   :2      
 flipper_length_mm  body_mass_g       sex           year     
 Min.   :172.0     Min.   :2700   female:165   Min.   :2007  
 1st Qu.:190.0     1st Qu.:3550   male  :168   1st Qu.:2007  
 Median :197.0     Median :4050   NA's  : 11   Median :2008  
 Mean   :200.9     Mean   :4202                Mean   :2008  
 3rd Qu.:213.0     3rd Qu.:4750                3rd Qu.:2009  
 Max.   :231.0     Max.   :6300                Max.   :2009  
 NA's   :2         NA's   :2                                 
mean(penguins$bill_depth_mm)
[1] NA
# NA car présence de valeur manquantes

mean(penguins$bill_length_mm, na.rm = TRUE)
[1] 43.92193
max(penguins$bill_length_mm, na.rm = TRUE)
[1] 59.6
pingouins_sans_na <- penguins |> 
  drop_na()

median(pingouins_sans_na$bill_length_mm)
[1] 44.5
pingouins_sans_na |> 
  summarise(
    across(
      .cols = where(is.numeric),
      .fns = list(
        moyenne = ~ mean(.x),
        minimum = ~ min(.x),
        maximum = ~ max(.x)
      ),
      .names = "{col} {fn}"
    )
  ) |> 
  pivot_longer(everything()) |> 
  separate_wider_delim(
    name, 
    delim = " ", 
    names = c("variable", "mesure")
    ) |> 
  pivot_wider(names_from = mesure, values_from = value)
# A tibble: 5 × 4
  variable          moyenne minimum maximum
  <chr>               <dbl>   <dbl>   <dbl>
1 bill_length_mm       44.0    32.1    59.6
2 bill_depth_mm        17.2    13.1    21.5
3 flipper_length_mm   201.    172     231  
4 body_mass_g        4207.   2700    6300  
5 year               2008.   2007    2009  

Boîte à moustaches

Graphique généralisant les données de dispersion.

penguins |> 
  ggplot() +
  aes(y = bill_length_mm) +
  geom_boxplot() +
  theme_light()

# sur toutes les colonnes numériques
penguins |> 
  pivot_longer(
    cols = where(is.numeric)
  ) |> 
  ggplot() +
  aes(y = value) +
  facet_wrap(~ name, scales = "free_y") +
  geom_boxplot() +
  theme_light()

Cas particulier des dates

Il est clair que le traitement de l’année est un peu particulier, à mi-chemin entre la variable qualitative et la variable quantitative.
S’il y a peu de dates, comme c’est le cas ici autant la traiter comme une variable qualitative, c’est-à-dire réaliser un tableau de contingence pour voir le nombre d’individus capturés par an.

# tableau de contingence
penguins |> 
  count(year)
# A tibble: 3 × 2
   year     n
  <int> <int>
1  2007   110
2  2008   114
3  2009   120
# réalisation d'un diagramme en barres
penguins |> 
  ggplot() +
  aes(x = year, fill = sex) +
  geom_bar() +
  scale_fill_manual(values = couleur) +
  theme_classic()

Si c’est une date complète, comment travailler dessus ?

# ajout de la date complète depuis le jeu de données `penguins_raw`
pingouins_modifie <- bind_cols(
  penguins,
  date = penguins_raw$`Date Egg`
) |> 
  mutate(
    mois = month(date, label = TRUE, abbr = FALSE),
    jour = day(date),
    jour_semaine = wday(date, label = TRUE, abbr = FALSE, week_start = 1)
  )

# repésentation en diagramme en barres
pingouins_modifie |> 
  ggplot() +
  aes(x = date, fill = jour_semaine) +
  geom_bar() +
  facet_wrap(~ year, scales = "free_x") +
  theme_bw()

Back to top