Les données manquantes

twitch
Rnewbies
statistiques
analyse de données
Author

Marie Vaugoyeau

Published

20 February 2024

Note

Twitch du 20 février 2024.

Code disponible sur GitHub.

Définitions

Les données manquantes sont les données qui ne sont pas présentes.
La donnée peut-être remplacée dans le tableau par :

  • NA
  • Une autre valeur dépendante des données ou de la personne qui s’en ai occupée : 0, NO, 999
Note

Quelques soit le cas, il existent plusieurs origines aux données manquantes.

Type de données manquantes

Les données manquantes, représentées par NA ou autre peuvent avoir plusieurs origines :

  • La donnée n’est pas compatible. Par exemple, une personne rentre du texte au lieu d’un numéro de téléphone. Dans ce cas le système ne prends pas en charge la réponse et la qualifie en NA pour Not Applicable
  • La donnée n’existe pas. Par exemple la personne n’a pas de numéro de téléphone, dans ce cas, le système la qualifie de NA pour Not Available
  • La donnée existe mais n’a pas été communiquées. Par exemple la personne a refusé de donner son numéro, dans ce cas, le système la qualifie de NA pour Not Answer

Dans tous les cas, la seule information transmise est que la données n’est pas disponible.
Il n’est pas toujours possible de cerner l’origine du problème mais cela n’empêche pas d’agir.
Il faut commencer par se demander ce que signifie cette absence et comment elle va impacter notre système.

Conséquences des valeurs manquantes

  • Perte d’information : Si la donnée peut-être retrouvée ou remplacée, pourquoi s’en empêcher ?
  • Erreur dans la généralisation : Si beaucoup de données sont manquantes et que les conclusions se basent uniquement sur celles présentent, est-ce que cela représente vraiment la réalité ?
  • Comportement de certains modèles stats
library(tidyverse)
── Attaching core tidyverse packages ──────────────────────── tidyverse 2.0.0 ──
✔ dplyr     1.1.4     ✔ readr     2.1.5
✔ forcats   1.0.0     ✔ stringr   1.5.1
✔ ggplot2   3.5.0     ✔ tibble    3.2.1
✔ lubridate 1.9.3     ✔ tidyr     1.3.1
✔ purrr     1.0.2     
── Conflicts ────────────────────────────────────────── tidyverse_conflicts() ──
✖ dplyr::filter() masks stats::filter()
✖ dplyr::lag()    masks stats::lag()
ℹ Use the conflicted package (<http://conflicted.r-lib.org/>) to force all conflicts to become errors
library(missMDA)
data("snorena")

# régression logistique 
regression_logistique <- glm(
  snore ~ age + weight + size + alcohol, 
  family = binomial, 
  data = snorena
  )

regression_logistique

Call:  glm(formula = snore ~ age + weight + size + alcohol, family = binomial, 
    data = snorena)

Coefficients:
(Intercept)          age       weight         size      alcohol  
  -4.221694     0.061238     0.001180    -0.001735     0.157680  

Degrees of Freedom: 72 Total (i.e. Null);  68 Residual
  (27 observations effacées parce que manquantes)
Null Deviance:      93.83 
Residual Deviance: 84.72    AIC: 94.72
summary(regression_logistique)

Call:
glm(formula = snore ~ age + weight + size + alcohol, family = binomial, 
    data = snorena)

Coefficients:
             Estimate Std. Error z value Pr(>|z|)  
(Intercept) -4.221694   6.845567  -0.617   0.5374  
age          0.061238   0.025278   2.423   0.0154 *
weight       0.001180   0.040353   0.029   0.9767  
size        -0.001735   0.055573  -0.031   0.9751  
alcohol      0.157680   0.080148   1.967   0.0491 *
---
Signif. codes:  0 '***' 0.001 '**' 0.01 '*' 0.05 '.' 0.1 ' ' 1

(Dispersion parameter for binomial family taken to be 1)

    Null deviance: 93.828  on 72  degrees of freedom
Residual deviance: 84.724  on 68  degrees of freedom
  (27 observations effacées parce que manquantes)
AIC: 94.724

Number of Fisher Scoring iterations: 4
regression_logistique_2 <- glm(
  snore ~ age + alcohol, 
  family = binomial, 
  data = snorena
  )

AIC(regression_logistique, regression_logistique_2)
Warning in AIC.default(regression_logistique, regression_logistique_2): tous
les modèles n'ont pas été ajustés sur le même nombre d'observations
                        df       AIC
regression_logistique    5  94.72355
regression_logistique_2  3 104.50932
summary(regression_logistique_2)

Call:
glm(formula = snore ~ age + alcohol, family = binomial, data = snorena)

Coefficients:
            Estimate Std. Error z value Pr(>|z|)    
(Intercept) -5.20428    1.50198  -3.465  0.00053 ***
age          0.07353    0.02483   2.961  0.00307 ** 
alcohol      0.20418    0.07716   2.646  0.00814 ** 
---
Signif. codes:  0 '***' 0.001 '**' 0.01 '*' 0.05 '.' 0.1 ' ' 1

(Dispersion parameter for binomial family taken to be 1)

    Null deviance: 113.321  on 86  degrees of freedom
Residual deviance:  98.509  on 84  degrees of freedom
  (13 observations effacées parce que manquantes)
AIC: 104.51

Number of Fisher Scoring iterations: 4
# ACP
library(FactoMineR)

acp <- PCA(snorena |> select(where(is.numeric)))
Warning in PCA(select(snorena, where(is.numeric))): Missing values are imputed
by the mean of the variable: you should use the imputePCA function of the
missMDA package

La régression logistique supprime les lignes avec les données manquantes alors que l’analyse en composantes principales les remplace par la moyenne de la colonne.
Il est donc important de garder en tête comment sont traités les données manquantes en fonction des statistiques utilisées.

Identifier les valeurs manquantes

Pour savoir comment agir, il faut commencer par quantifier et localiser les valeurs manquantes.

Une réalisation simple est l’utilisation de la fonction summary() du package {base}.

summary(snorena)
      age            weight           size          alcohol         sex    
 Min.   :23.00   Min.   : 42.0   Min.   :158.0   Min.   : 0.000   M   :75  
 1st Qu.:43.00   1st Qu.: 77.0   1st Qu.:166.0   1st Qu.: 0.000   W   :22  
 Median :51.00   Median : 94.0   Median :186.0   Median : 2.000   NA's: 3  
 Mean   :52.16   Mean   : 90.4   Mean   :181.1   Mean   : 2.905            
 3rd Qu.:63.00   3rd Qu.:104.5   3rd Qu.:194.0   3rd Qu.: 4.000            
 Max.   :74.00   Max.   :120.0   Max.   :208.0   Max.   :15.000            
 NA's   :3       NA's   :9       NA's   :5       NA's   :5                 
  snore    tobacco  
 N   :62   N   :32  
 Y   :32   Y   :61  
 NA's: 6   NA's: 7  
                    
                    
                    
                    

Le package {naniar} est spécialement adapté à la visualisation des données manquantes.

Visualisation du nombre (argument show_pct = FALSE) ou de la proportion (argument show_pct = TRUE) de données manquantes grâce aux fonctions gg_miss_var().

library(naniar)

gg_miss_var(snorena, show_pct = TRUE)

La fonction gg_miss_upset() permet de représenter sur un graphique les variables qui ont des données manquantes et le lien entre les colonnes.

gg_miss_upset(snorena)

La fonction geom_miss_point() permet de visualiser les valeurs manquantes sur les nuage de poin.

ggplot(snorena) +
  aes(x = size, y = weight) +
  geom_miss_point() +
  theme_classic()

Et il existe d’autres fonctions :

  • vis_miss() du package {visdata}
  • md.pattern() du package {mice}
visdat::vis_miss(snorena)

mice::md.pattern(snorena, rotate.names = TRUE)

   age sex size alcohol snore tobacco weight   
65   1   1    1       1     1       1      1  0
7    1   1    1       1     1       1      0  1
5    1   1    1       1     1       0      1  1
2    1   1    1       1     1       0      0  2
6    1   1    1       1     0       1      1  1
4    1   1    1       0     1       1      1  1
5    1   1    0       1     1       1      1  1
3    1   0    1       1     1       1      1  1
2    0   1    1       1     1       1      1  1
1    0   1    1       0     1       1      1  2
     3   3    5       5     6       7      9 38
Détection des valeurs manquantes

Les données manquantes peuvent avoir été remplacées par d’autres. Il est nécessaire de faite une analyse descriptive pour les détecter.

L’analyse descriptive

L’analyse descriptive a pour but d’analyser les variables pour connaître la nature des données mais aussi identifier les valeurs extrêmes (à ne pas confondre avec aberrantes).

Utilisation de fonctions rapide comme :

skimr::skim(snorena)
Data summary
Name snorena
Number of rows 100
Number of columns 7
_______________________
Column type frequency:
factor 3
numeric 4
________________________
Group variables None

Variable type: factor

skim_variable n_missing complete_rate ordered n_unique top_counts
sex 3 0.97 FALSE 2 M: 75, W: 22
snore 6 0.94 FALSE 2 N: 62, Y: 32
tobacco 7 0.93 FALSE 2 Y: 61, N: 32

Variable type: numeric

skim_variable n_missing complete_rate mean sd p0 p25 p50 p75 p100 hist
age 3 0.97 52.16 11.52 23 43 51 63.0 74 ▁▇▇▇▇
weight 9 0.91 90.40 18.08 42 77 94 104.5 120 ▁▃▅▇▆
size 5 0.95 181.09 13.50 158 166 186 194.0 208 ▆▂▅▇▁
alcohol 5 0.95 2.91 3.36 0 0 2 4.0 15 ▇▃▁▁▁
summarytools::dfSummary(snorena)
Data Frame Summary  
snorena  
Dimensions: 100 x 7  
Duplicates: 0  

----------------------------------------------------------------------------------------------------------
No   Variable    Stats / Values             Freqs (% of Valid)   Graph                 Valid     Missing  
---- ----------- -------------------------- -------------------- --------------------- --------- ---------
1    age         Mean (sd) : 52.2 (11.5)    40 distinct values         . .   :   .     97        3        
     [integer]   min < med < max:                                      : :   :   :     (97.0%)   (3.0%)   
                 23 < 51 < 74                                        : : : . : . : .                      
                 IQR (CV) : 20 (0.2)                                 : : : : : : : :                      
                                                                 . : : : : : : : : :                      

2    weight      Mean (sd) : 90.4 (18.1)    45 distinct values             : .         91        9        
     [integer]   min < med < max:                                          : :         (91.0%)   (9.0%)   
                 42 < 94 < 120                                         . . : :                            
                 IQR (CV) : 27.5 (0.2)                               : : : : : .                          
                                                                 . : : : : : : :                          

3    size        Mean (sd) : 181.1 (13.5)   30 distinct values                 :       95        5        
     [integer]   min < med < max:                                  .           :       (95.0%)   (5.0%)   
                 158 < 186 < 208                                   :         . :                          
                 IQR (CV) : 28 (0.1)                             : :     : : : :                          
                                                                 : : : . : : : :                          

4    alcohol     Mean (sd) : 2.9 (3.4)      12 distinct values   :                     95        5        
     [integer]   min < med < max:                                :                     (95.0%)   (5.0%)   
                 0 < 2 < 15                                      : .                                      
                 IQR (CV) : 4 (1.2)                              : :                                      
                                                                 : : : : .                                

5    sex         1. M                       75 (77.3%)           IIIIIIIIIIIIIII       97        3        
     [factor]    2. W                       22 (22.7%)           IIII                  (97.0%)   (3.0%)   

6    snore       1. N                       62 (66.0%)           IIIIIIIIIIIII         94        6        
     [factor]    2. Y                       32 (34.0%)           IIIIII                (94.0%)   (6.0%)   

7    tobacco     1. N                       32 (34.4%)           IIIIII                93        7        
     [factor]    2. Y                       61 (65.6%)           IIIIIIIIIIIII         (93.0%)   (7.0%)   
----------------------------------------------------------------------------------------------------------

Traitement des valeurs manquantes

  • Remplacer la donnée manquante par :
    • La vraie valeur s’il est possible de la retrouver.
    • Une valeur de remplacement :
      • Déterminée à partir des autres données de la variables : moyenne, médiane, minimum, maximum
      • Modélisée à partir des autres variables grâce à une régression linéaire, une ACP
  • Ne pas remplacer la données mais garder le NA
  • Supprimer la ligne ou la colonne concernée. Cette solution est la moins envisageable et ne doit être mise en place que si les deux autres ne sont pas possibles.
# remplacement par régression logistique
snore_pred <- predict(
  regression_logistique_2, 
  newdata = snorena |> filter(is.na(snore))
  )

snorena_mod <- snorena |> 
  mutate(
    snore = 
      case_when(
        is.na(snore) ~ "N",
        TRUE ~ snore
      ) |> 
      as.factor()
  )

summary(snorena_mod)
      age            weight           size          alcohol         sex    
 Min.   :23.00   Min.   : 42.0   Min.   :158.0   Min.   : 0.000   M   :75  
 1st Qu.:43.00   1st Qu.: 77.0   1st Qu.:166.0   1st Qu.: 0.000   W   :22  
 Median :51.00   Median : 94.0   Median :186.0   Median : 2.000   NA's: 3  
 Mean   :52.16   Mean   : 90.4   Mean   :181.1   Mean   : 2.905            
 3rd Qu.:63.00   3rd Qu.:104.5   3rd Qu.:194.0   3rd Qu.: 4.000            
 Max.   :74.00   Max.   :120.0   Max.   :208.0   Max.   :15.000            
 NA's   :3       NA's   :9       NA's   :5       NA's   :5                 
 snore  tobacco  
 N:68   N   :32  
 Y:32   Y   :61  
        NA's: 7  
                 
                 
                 
                 
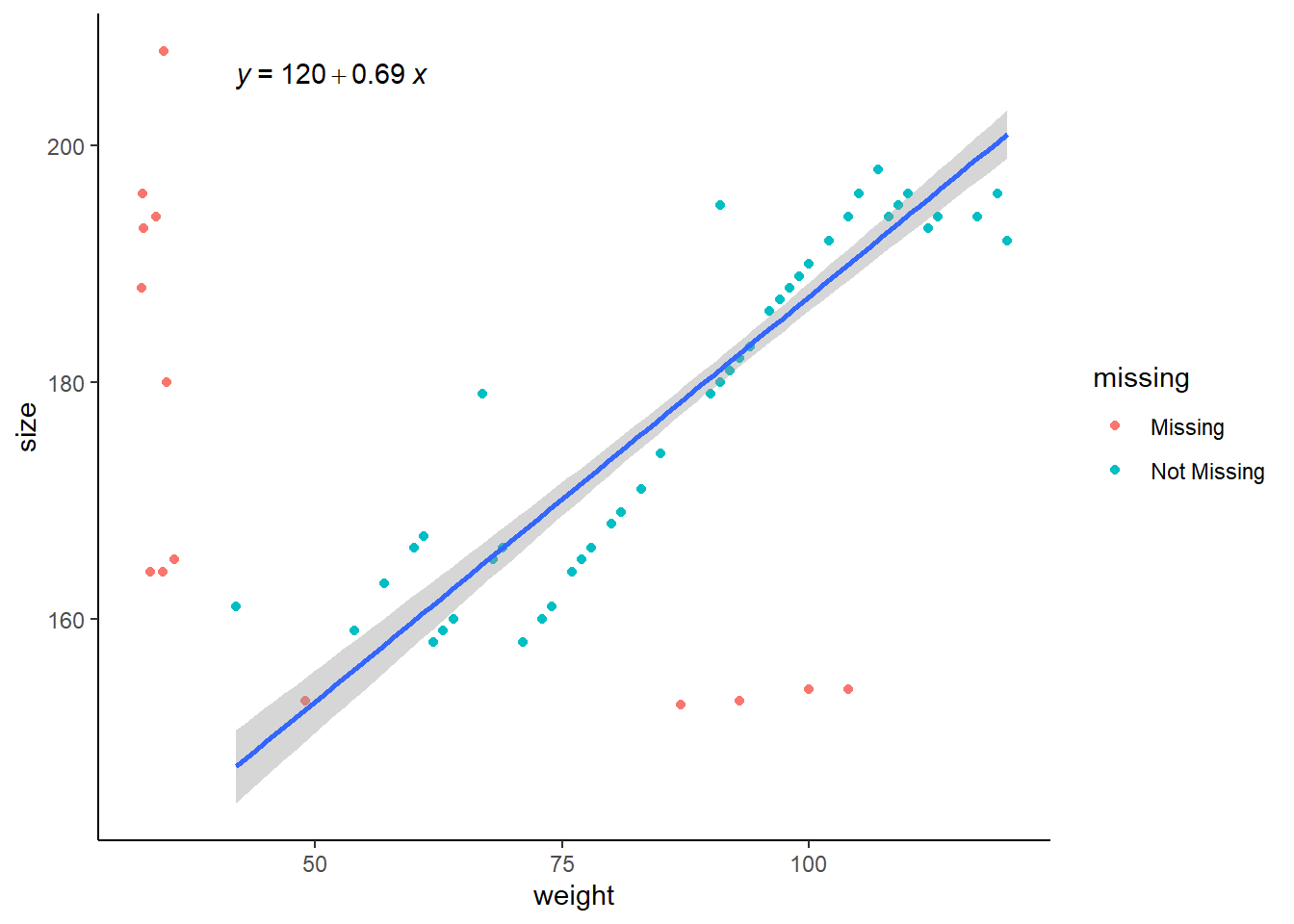
# régression linéaire
ggplot(snorena_mod) + 
  aes(x = weight, y = size) +
  geom_miss_point() +
  geom_smooth(method = "lm") +
  ggpubr::stat_regline_equation() +
  theme_classic()
`geom_smooth()` using formula = 'y ~ x'
Warning: Removed 14 rows containing non-finite outside the scale range
(`stat_smooth()`).
Warning: Removed 14 rows containing non-finite outside the scale range
(`stat_regline_equation()`).

snorena_mod <- snorena_mod |> 
  mutate(
    size = 
      case_when(
        is.na(size) ~ 120 + 0.69 * weight,
        TRUE ~ size
      )
  )

summary(snorena_mod)
      age            weight           size          alcohol         sex    
 Min.   :23.00   Min.   : 42.0   Min.   :153.8   Min.   : 0.000   M   :75  
 1st Qu.:43.00   1st Qu.: 77.0   1st Qu.:166.0   1st Qu.: 0.000   W   :22  
 Median :51.00   Median : 94.0   Median :186.0   Median : 2.000   NA's: 3  
 Mean   :52.16   Mean   : 90.4   Mean   :181.0   Mean   : 2.905            
 3rd Qu.:63.00   3rd Qu.:104.5   3rd Qu.:194.0   3rd Qu.: 4.000            
 Max.   :74.00   Max.   :120.0   Max.   :208.0   Max.   :15.000            
 NA's   :3       NA's   :9                       NA's   :5                 
 snore  tobacco  
 N:68   N   :32  
 Y:32   Y   :61  
        NA's: 7  
                 
                 
                 
                 
# regression linéaire
reg_lin <- lm(weight ~ size, data = snorena)
reg_lin$coefficients
(Intercept)        size 
 -136.42657     1.25551 
snorena_mod <- snorena_mod |> 
  mutate(
    weight = 
      case_when(
        is.na(weight) ~ 
          reg_lin$coefficients[1] + reg_lin$coefficients[2] * size,
        TRUE ~ weight
      )
  )

summary(snorena_mod)
      age            weight            size          alcohol         sex    
 Min.   :23.00   Min.   : 42.00   Min.   :153.8   Min.   : 0.000   M   :75  
 1st Qu.:43.00   1st Qu.: 77.00   1st Qu.:166.0   1st Qu.: 0.000   W   :22  
 Median :51.00   Median : 95.00   Median :186.0   Median : 2.000   NA's: 3  
 Mean   :52.16   Mean   : 90.72   Mean   :181.0   Mean   : 2.905            
 3rd Qu.:63.00   3rd Qu.:106.17   3rd Qu.:194.0   3rd Qu.: 4.000            
 Max.   :74.00   Max.   :124.72   Max.   :208.0   Max.   :15.000            
 NA's   :3                                        NA's   :5                 
 snore  tobacco  
 N:68   N   :32  
 Y:32   Y   :61  
        NA's: 7  
                 
                 
                 
                 
replace_na() du package {tidyr}

Lors du live j’ai oublié de présenter la fonction replace_na() du package {tidyr} !
Cette fonction permet de remplacer les valeurs manquantes d’une colonne ou plusieurs colonnes par une valeur spécifique.

Pour finir

L’idée de cette article est d’initier au traitement des données manquantes, pas de remplacer une formation dessus 😊
Bonne journée,
Marie

Back to top