Les graphiques avec {ggplot2}

twitch
Rnewbies
analyse de données
graphique
Author

Marie Vaugoyeau

Published

13 December 2022

Note

Twitch du 13 décembre 2022
La vidéo n’est malheureusment plus disponible suite à une erreur de manipulation 😅
Code disponible sur GitHub

Réaliser un graphique nuage des points avec {ggplot2}

Important

Les graphiques avec le package {ggplot2} se réalise par couche.
Il y a donc une importance sur les couches pour ne pas masquer des éléments.

Masse de poussins

Utilisation du jeu de données ChickWeight présent de base dans R qui donne les poids de 50 poulets sur les 21 premiers jours de vie selon 4 régimes alimentaires.
Plus d’informations sur la page d’aide associée help(ChickWeight).

# appel du {tidyverse}
library(tidyverse)

# graphique de base
plot(ChickWeight)

# rien dessus
ggplot(data = ChickWeight)

# choix des dimension mais pas de représentation
ggplot(data = ChickWeight, mapping = aes(x = Time, y = weight))

# ajout de la couche points !
ggplot(data = ChickWeight, mapping = aes(x = Time, y = weight)) +
  geom_point()

# amélioration du rendu du grpahique
ggplot(data = ChickWeight, mapping = aes(x = Time, y = weight)) +
  geom_point() +
  theme_classic()

# ajout de la couleur en fonction du poussin
ggplot(data = ChickWeight, mapping = aes(x = Time, y = weight, color = Chick)) +
  geom_point() +
  theme_classic()

# retirer la légende / erreur ordre des couches !
ggplot(data = ChickWeight, mapping = aes(x = Time, y = weight, color = Chick)) +
  geom_point() +
  theme(legend.position = "none") +
  theme_classic()

# retirer la légende ok 
ggplot(data = ChickWeight, mapping = aes(x = Time, y = weight, color = Chick)) +
  geom_point() +
  theme_classic() +
  theme(legend.position = "none")

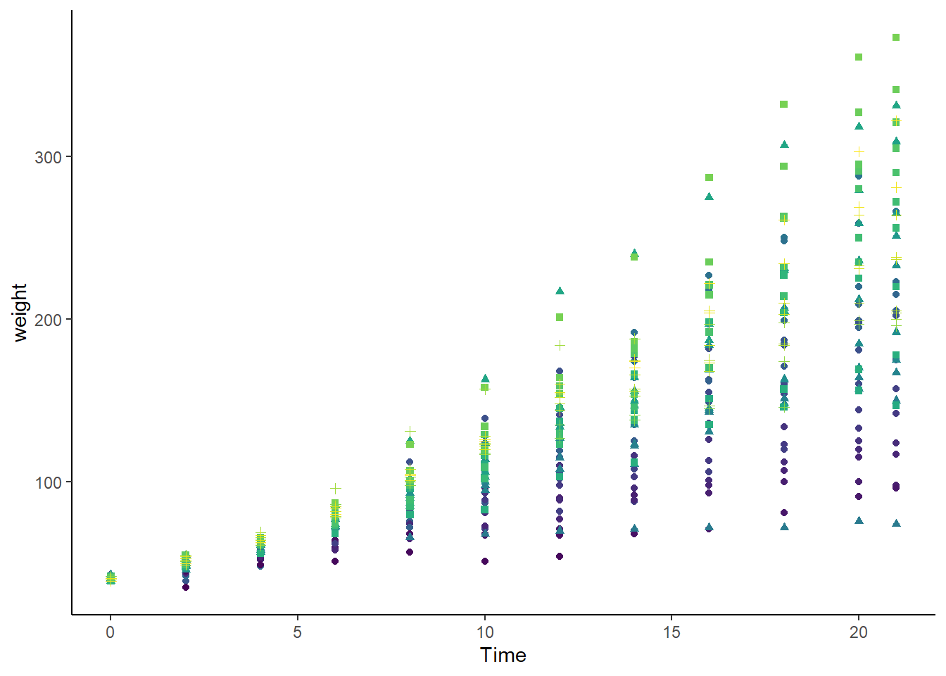
# forme des points en fonction du régime
ggplot(data = ChickWeight, mapping = aes(x = Time, y = weight, color = Chick, shape = Diet)) +
  geom_point() +
  theme_classic() +
  theme(legend.position = "none")

# ajout de la légende seulement pour le type de régime
ggplot(data = ChickWeight, mapping = aes(x = Time, y = weight, color = Chick, shape = Diet)) +
  geom_point() +
  theme_classic() +
  guides(color = "none")

# ajout de ligne
ggplot(data = ChickWeight, mapping = aes(x = Time, y = weight, color = Chick, shape = Diet)) +
  geom_point() +
  geom_line() +
  theme_classic() +
  guides(color = "none")

# si on retire la couleur
ggplot(data = ChickWeight, mapping = aes(x = Time, y = weight, shape = Diet)) +
  geom_point() +
  geom_line() +
  theme_classic() +
  guides(color = "none")

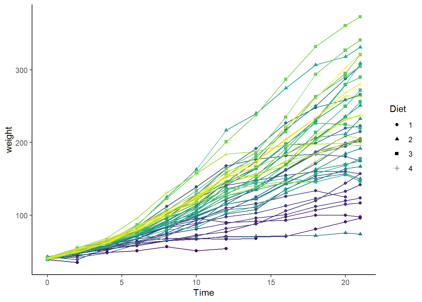
# ajout du groupe
ggplot(data = ChickWeight, mapping = aes(x = Time, y = weight, shape = Diet, groupe = Chick)) +
  geom_point() +
  geom_line() +
  theme_classic() +
  guides(color = "none")

# concentration sur le régime
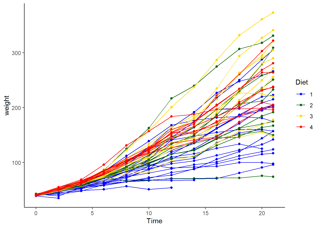
ggplot(data = ChickWeight, mapping = aes(x = Time, y = weight, color = Diet, groupe = Chick)) +
  geom_point() +
  geom_line() +
  theme_classic()

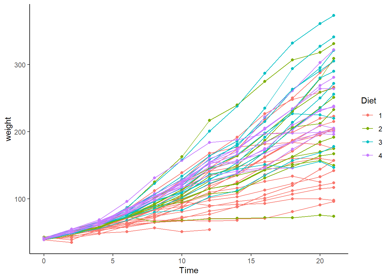
# changement de couleur
ggplot(data = ChickWeight, mapping = aes(x = Time, y = weight, color = Diet, groupe = Chick)) +
  geom_point() +
  geom_line() +
  scale_color_manual(values = c("gold", "blue", "red", "darkgreen")) +
  theme_classic()

# si on surpprime une modalité cela change les couleurs des suivantes donc mieux vaut utiliser un vecteur
ChickWeight %>% 
  filter(Diet != 3) %>%
  ggplot(mapping = aes(x = Time, y = weight, color = Diet, groupe = Chick)) +
  geom_point() +
  geom_line() +
  scale_color_manual(values = c("gold", "blue", "red", "darkgreen")) +
  theme_classic()

# par vecteur
couleur <- c("1" = "blue", "2" = "darkgreen", "3" = "gold", "4" = "red")

ggplot(data = ChickWeight, mapping = aes(x = Time, y = weight, color = Diet, groupe = Chick)) +
  geom_point() +
  geom_line() +
  scale_color_manual(values = couleur) +
  theme_classic()

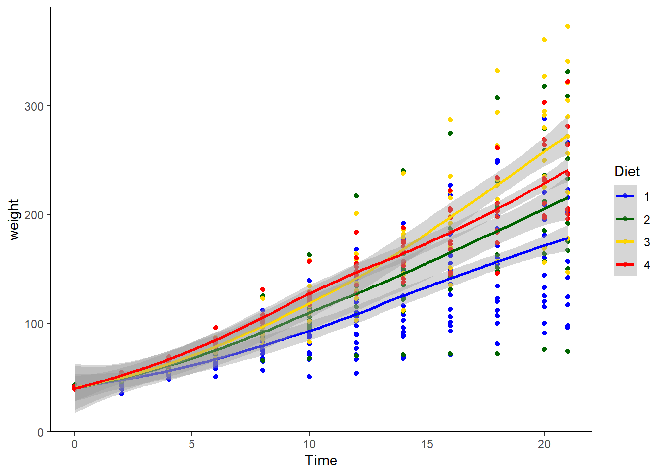
# tendance par régime
ggplot(data = ChickWeight, mapping = aes(x = Time, y = weight, color = Diet)) +
  geom_point() +
  geom_smooth() +
  scale_color_manual(values = couleur) +
  theme_classic()

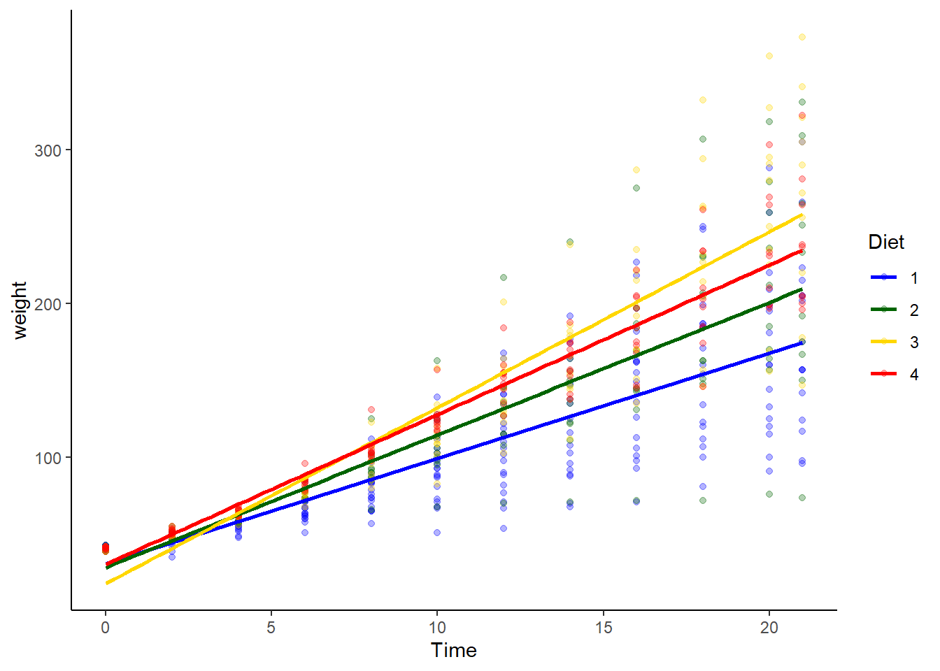
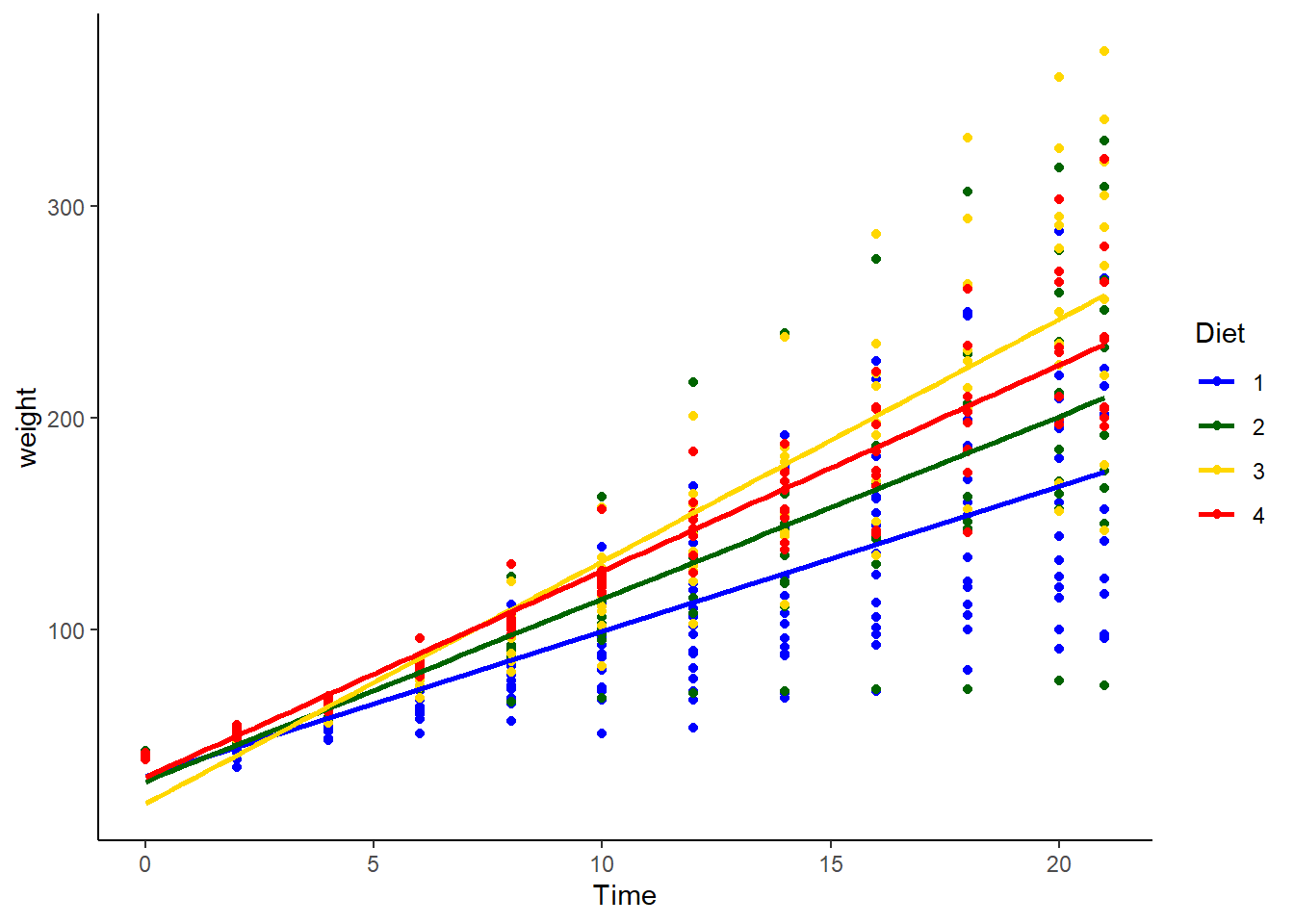
# régression linéaire
ggplot(data = ChickWeight, mapping = aes(x = Time, y = weight, color = Diet)) +
  geom_point() +
  geom_smooth(method = "lm", se = FALSE) +
  scale_color_manual(values = couleur) +
  theme_classic()

# attenuer les points
ggplot(data = ChickWeight, mapping = aes(x = Time, y = weight, color = Diet)) +
  geom_point(alpha = 0.3) +
  geom_smooth(method = "lm", se = FALSE) +
  scale_color_manual(values = couleur) +
  theme_classic()

Différence entre histogramme et diagramme en barres

Définitions

Histogramme : Graphique permettant de représenter la distribution des données d’une variable quantitative.
Diagramme en barres : Graphique représentant la distribution des modalités d’une variable qualitative.

Exemples

# histogramme du poids
ChickWeight %>% 
  ggplot() +
  aes(x = weight) +
  geom_histogram() +
  theme_bw()

# changement du nombre d'intervalles
ChickWeight %>% 
  ggplot() +
  aes(x = weight) +
  geom_histogram(bins = 10) +
  theme_bw()

# changement de la taille de l'intervalle
ChickWeight %>% 
  ggplot() +
  aes(x = weight) +
  geom_histogram(binwidth = 10) +
  theme_bw()

# ajout du régime
ChickWeight %>% 
  ggplot() +
  aes(x = weight, fill = Diet) +
  geom_histogram(binwidth = 10) +
  theme_bw()

#séparation des barres
ChickWeight %>% 
  ggplot() +
  aes(x = weight, fill = Diet) +
  geom_histogram(binwidth = 10, position = "dodge") +
  theme_bw()

# diagramme en barres sur le poids 
ChickWeight %>% 
  ggplot() +
  aes(x = weight) +
  geom_bar() +
  theme_light()

# diagramme en barres sur les régimes
ChickWeight %>% 
  ggplot() +
  aes(x = Diet) +
  geom_bar() +
  theme_light()

# 100 ligne de plus pour le régime 1
ChickWeight %>% 
  count(Diet)
Grouped Data: weight ~ Time | Chick
  Diet   n
1    1 220
2    2 120
3    3 120
4    4 118
# Diagramme en barres sur les poussins
ChickWeight %>% 
  ggplot() +
  aes(x = Chick, y = weight) +
  geom_bar(stat = "identity") +
  theme_light()

# construction somme des poids 
ChickWeight %>% 
  ggplot() +
  aes(x = Chick, y = weight, fill = Time) +
  geom_bar(stat = "identity") +
  theme_light()

# ajout du régime
ChickWeight %>% 
  ggplot() +
  aes(x = Chick, y = weight, fill = Time, color = Diet) +
  geom_bar(stat = "identity") +
  theme_light()

# prise de poids
ChickWeight %>% 
  group_by(Chick) %>% 
  mutate(
    poids = weight - lag(weight)
  ) %>% 
  ungroup() %>% 
  ggplot() + 
  aes(Chick,y = poids, fill = Time) +
  geom_bar(stat = "identity") +
  theme_light()

Graphique plus poussé

Boîtes à moustaches

Explication d’une boîte à moustache

Note

Q = Quartile

quartile <- quantile(ChickWeight$weight)

ggplot(data = ChickWeight) +
  geom_boxplot(aes(weight)) +
  geom_text(
    aes(
      x = min(weight),
      y = - 0.2 ,
      label = "Maximum entre :\nQ1 - 1,5 * (Q3 - Q1)\net Minimum (ici)"
      )
  ) +
  geom_text(
    aes(
      x = quartile[2],
      y = 0.5,
      label = "Q1\n(25%)"
    ),
    inherit.aes = FALSE
  ) +
  geom_text(
    aes(
      x = quartile[3],
      y = - 0.55,
      label = "Q2\n(50%)\nMédiane"
    ),
    inherit.aes = FALSE
  ) +
  geom_text(
    aes(
      x = quartile[4],
      y = 0.5,
      label = "Q3\n(75%)"
    ),
    inherit.aes = FALSE
  ) +
  geom_text(
    aes(
      x = 300, 
      y = 0.2, 
      label = "Minimum entre :\nQ3 + 1,5 * (Q3 - Q1) (ici)\net Maximum")) +
  geom_text(
    aes(
      x = 350,
      y = -0.1,
      label = "Valeurs extrêmes"
    ),
    color = "red"
  ) +
  xlim(0, 400) +
  ylim(-0.65, 0.6) +
  ylab("") +
  theme_classic()

Boîtes à moustache en fonction du régime

# boîte à moustache simple
ggplot(ChickWeight) +
  aes(x = weight) +
  geom_boxplot() +
  theme_classic()

# ajout du régime
ggplot(ChickWeight) +
  aes(x = weight, y = Diet) +
  geom_boxplot() +
  theme_classic()

# ajout de couleur du régime
ggplot(ChickWeight) +
  aes(weight, y = Diet, color = Diet) +
  geom_boxplot() +
  scale_color_manual(values = couleur) +
  theme_classic()

# ajout des points
ggplot(ChickWeight) +
  aes(weight, y = Diet, color = Diet) +
  geom_point() +
  geom_boxplot() +
  scale_color_manual(values = couleur) +
  theme_classic()

# montrer l'importance des couches
ggplot(ChickWeight) +
  aes(weight, y = Diet, color = Diet) +
  geom_boxplot() +
  geom_point() +
  scale_color_manual(values = couleur) +
  theme_classic()

# ajout de la transparance pour les points
ggplot(ChickWeight) +
  aes(weight, y = Diet, color = Diet) +
  geom_boxplot() +
  geom_point(alpha = 0.3) +
  scale_color_manual(values = couleur) +
  theme_classic()

# utilisation de la dispersion des points
ggplot(ChickWeight) +
  aes(weight, y = Diet, color = Diet) +
  geom_boxplot() +
  geom_jitter(alpha = 0.3) +
  scale_color_manual(values = couleur) +
  theme_classic()

# poids = var réponse
ggplot(ChickWeight) +
  aes(y = weight, x = Diet, color = Diet) +
  geom_boxplot() +
  geom_jitter(alpha = 0.3) +
  scale_color_manual(values = couleur) +
  theme_classic()

Graphique combiné

Très proche du graphique présenté précédemment avec plot

# charger le package {GGally}
library(GGally)

# création du graphique
ggpairs(ChickWeight, columns = 1:2, aes(color=Diet))

# ajout de la couleur choisi
ggpairs(ChickWeight, columns = 1:2, aes(color=Diet)) + 
  scale_color_manual(values = couleur)

# idem mais pour les courbes
ggpairs(ChickWeight, columns = 1:2, aes(color=Diet)) + 
  scale_color_manual(values = couleur) + 
  scale_fill_manual(values = couleur)

# theme_classic appliqué
ggpairs(ChickWeight, columns = 1:2, aes(color=Diet)) + 
  scale_color_manual(values = couleur) + 
  scale_fill_manual(values = couleur) +
  theme_classic()

Back to top