Apprendre à réaliser une régression linéaire

twitch
Rnewbies
analyse de données
statistiques
Author

Marie Vaugoyeau

Published

17 December 2024

Note

Twitch du 17 décembre 2024.

Code disponible sur GitHub.

import des packages

library(tidyverse)
── Attaching core tidyverse packages ──────────────────────── tidyverse 2.0.0 ──
✔ dplyr     1.1.4     ✔ readr     2.1.5
✔ forcats   1.0.0     ✔ stringr   1.5.1
✔ ggplot2   3.5.1     ✔ tibble    3.2.1
✔ lubridate 1.9.3     ✔ tidyr     1.3.1
✔ purrr     1.0.2     
── Conflicts ────────────────────────────────────────── tidyverse_conflicts() ──
✖ dplyr::filter() masks stats::filter()
✖ dplyr::lag()    masks stats::lag()
ℹ Use the conflicted package (<http://conflicted.r-lib.org/>) to force all conflicts to become errors

Définition de la régression linéaire

Objectif : Trouver une équation de type linéaire qui permet d’expliquer une variable réponse quantitative par une ou plusieurs variable(s) explicative(s).

Différence entre régression linéaire et modèle linéaire

Il n’y en a pas !
Certaines personnes parlent de modèle de régression linéaire.

L’équation est de la forme : \[ Y = aX + b \] Avec a : la pente (ou coefficient directeur) et b : l'ordonnée à l'origine ou intecept

Attention

La régression de Y en fonction de X n’est pas la même que la régression de X en fonction de Y.

Etude des résidus

Pour ajuste la droite de régression, la méthode utilisée se base sur les résidus : la méthode des moindres carrées.
La somme du carré des résidus est calculée à chaque itération (création d’une nouvelle équation) et comparée aux autre. L’idée est d’avoir la plus petite somme des résidus possible.

Les résidus

Un résidu est la différence entre la valeur observée et la valeur prédite par l’équation linéaire.

Les résidus doivent suivre une loi normale, vérifiable grâce à un graphique quantile-quantile (QQplot) ou le test de Shapiro-Wilk.
Plus d’information sur la loi normale dans cet article de blog.

Les points extrêmes

Il y a deux sortes d’extrêmes :

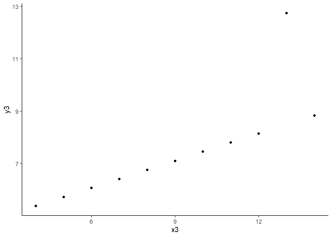
  • Extrême sur Y : ordonnée très différente des autres points d’abscisse proche -> Point non consistant
anscombe |> 
  ggplot() +
  aes(x = x3, y = y3) +
  geom_point() +
  theme_classic()

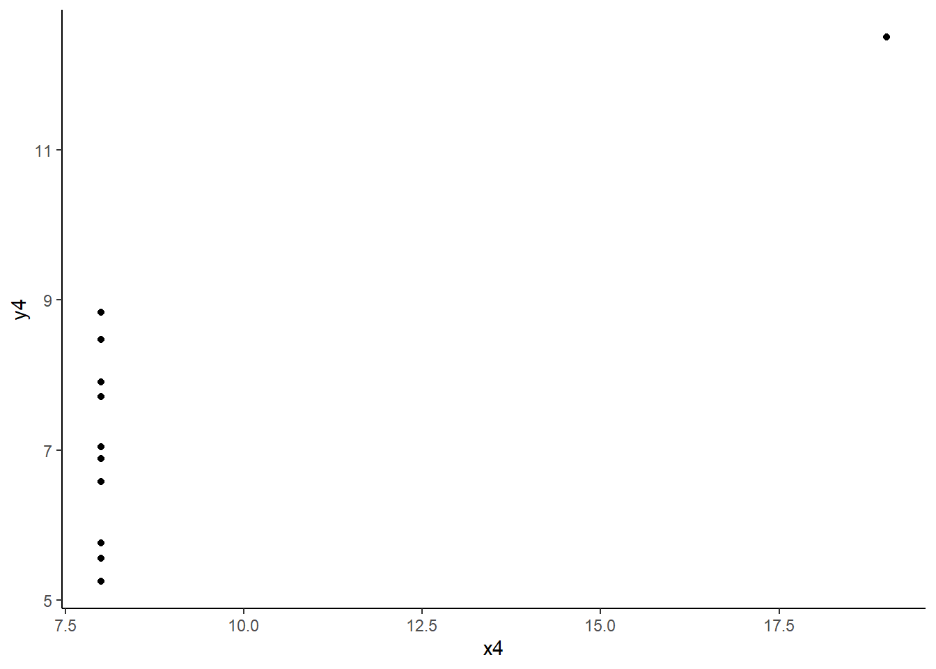
  • Extrême sur X : abscisse nettement plus petite ou plus grande que celle des autres points -> Phénomène de levier
anscombe |> 
  ggplot() +
  aes(x = x4, y = y4) +
  geom_point() +
  theme_classic()

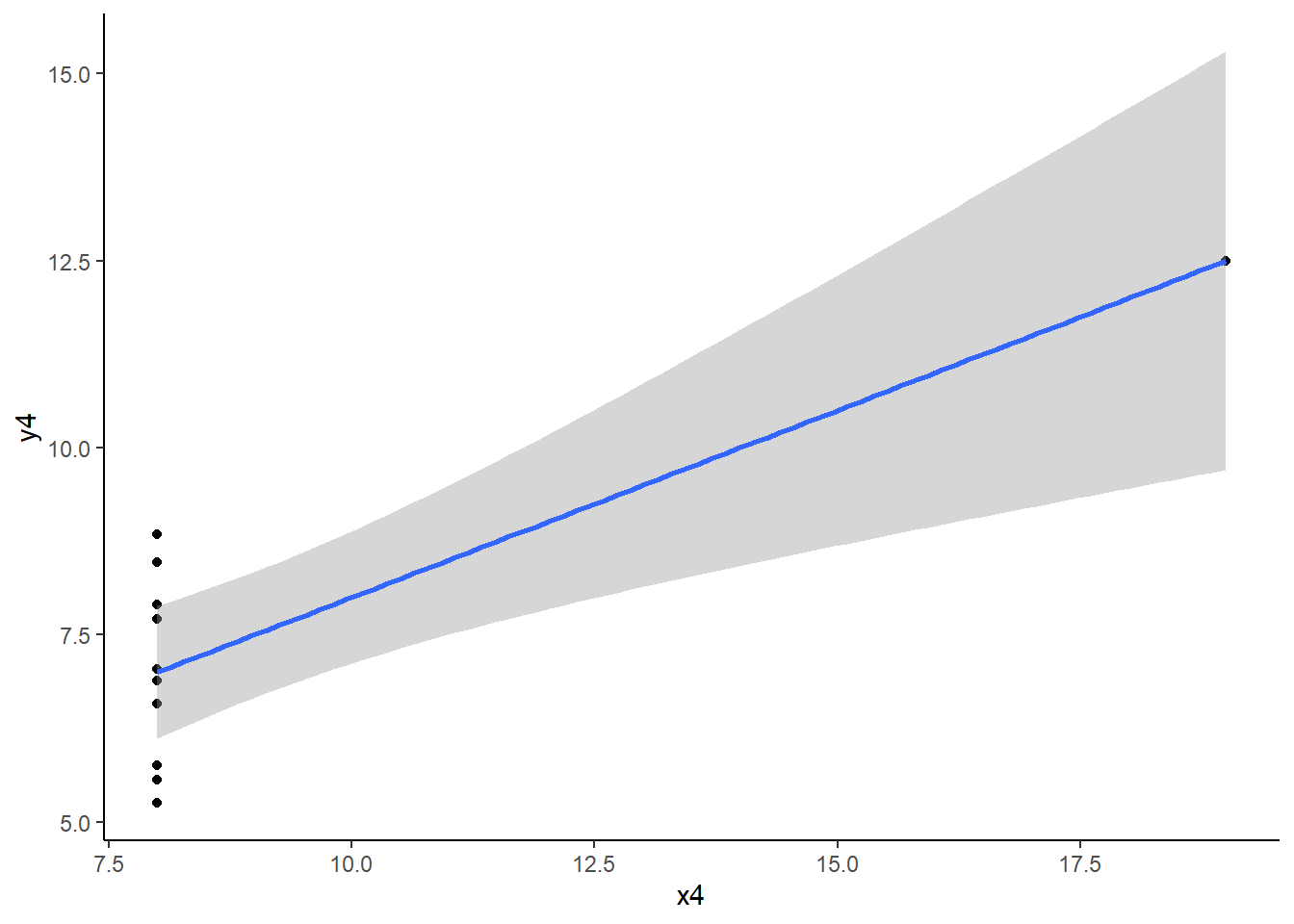
Point influent

Dans les deux cas, un point est influent lorsque la régression pratiquée avec ou sans ce point conduit à des résultats très différents.

anscombe |> 
  ggplot() +
  aes(x = x3, y = y3) +
  geom_point() +
  geom_smooth(method = "lm") +
  theme_classic()
`geom_smooth()` using formula = 'y ~ x'
anscombe |> 
  filter(y3 < 10) |> 
  ggplot() +
  aes(x = x3, y = y3) +
  geom_point() +
  geom_smooth(method = "lm") +
  theme_classic()
`geom_smooth()` using formula = 'y ~ x'
anscombe |> 
  ggplot() +
  aes(x = x4, y = y4) +
  geom_point() +
  geom_smooth(method = "lm") +
  theme_classic()
`geom_smooth()` using formula = 'y ~ x'
anscombe |> 
  filter(x4 < 10) |> 
  ggplot() +
  aes(x = x4, y = y4) +
  geom_point() +
  geom_smooth(method = "lm") +
  theme_classic()
`geom_smooth()` using formula = 'y ~ x'

Avec point consistant

Sans point consitant

Avec point levier

Sans point levier

Les données

Les données utilisées sont celles du jeu de données iris. Les longueurs et largeurs de sépales et pétales ont été mesurées sur 50 iris de 3 espèces, plus d’information sur la page d’aide help(iris).

summary(iris)
  Sepal.Length    Sepal.Width     Petal.Length    Petal.Width   
 Min.   :4.300   Min.   :2.000   Min.   :1.000   Min.   :0.100  
 1st Qu.:5.100   1st Qu.:2.800   1st Qu.:1.600   1st Qu.:0.300  
 Median :5.800   Median :3.000   Median :4.350   Median :1.300  
 Mean   :5.843   Mean   :3.057   Mean   :3.758   Mean   :1.199  
 3rd Qu.:6.400   3rd Qu.:3.300   3rd Qu.:5.100   3rd Qu.:1.800  
 Max.   :7.900   Max.   :4.400   Max.   :6.900   Max.   :2.500  
       Species  
 setosa    :50  
 versicolor:50  
 virginica :50  
                
                
                

Réalisation d’une régression linéaire

1ère étape : Réalisation d’un nuage de points

La visualisation des données est une étape indispensable afin de vérifier les données et de contrôler la linéarité des données.

ggplot(iris) +
  aes(x = Sepal.Length, y = Sepal.Width) +
  geom_point() +
  theme_classic()

Attention

Il ne faut pas réaliser de régression linéaire si graphiquement on ne distingue pas de relation linéaire entre les données.

ggplot(iris) +
  aes(x = Petal.Length, y = Petal.Width) +
  geom_point() +
  theme_classic()

2ème étape : Vérifier les limites d’utilisation de la régression

Les données doivent être indépendantes et suivre (ou être approximées par) des lois normales.

Test de Shapiro-Wilk

shapiro.test(iris$Petal.Length)

    Shapiro-Wilk normality test

data:  iris$Petal.Length
W = 0.87627, p-value = 7.412e-10
shapiro.test(iris$Petal.Width)

    Shapiro-Wilk normality test

data:  iris$Petal.Width
W = 0.90183, p-value = 1.68e-08
Note

Les longueurs et largeurs de pétales ne suivent pas des lois normales.

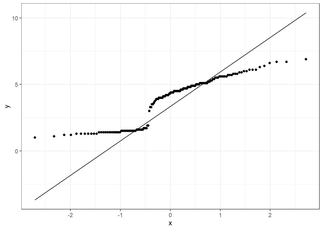
Représentation graphique

iris |> 
  ggplot() +
  aes(sample = Petal.Length) +
  geom_qq() +
  geom_qq_line() +
  theme_bw()

iris |> 
  pivot_longer(
    cols = - Species
  ) |> 
  ggplot() +
  aes(sample = value) +
  geom_qq() +
  geom_qq_line() +
  facet_wrap(~ name, scales = "free") +
  theme_bw()

Note

La régression linéaire est assez résistante à l’absence de normalité et il est possible de la faire ici en prenant en compte la loi des grands nombres.

3ème étape : Création du modèle linéaire

Plusieurs packages ont des fonctions qui permettent de réaliser un modèle linéaire.
Ici je vais rester sur la fonction lm() du package {stats} automatiquement chargé dans l’environnement.
Cette fonction prend comme premier argument la formula, c’est-à-dire la formule de type y ~ x et en deuxième argument data, le jeu de données utilisé.

modele_lineaire_petale <- lm(
  Petal.Width ~ Petal.Length,
  data = iris
)

Pour accéder aux coefficients, il y a plusieurs solutions :

  • Rappeler le nom du modèle : Ne donne pas les statistiques de test
  • Utiliser la fonction summary() du package {base} : Le plus complet mais attention s’il y a plusieurs variables explicatives, les coeffcients et statistiques de test appliqués sont de type I.
  • Applique la fonction anova() du package {stats} : Permet d’afficher facilement le tableau des coefficients mais type I aussi
  • Prendre la fonction Anova() du package {car} : Même chose que précédent mais type II (et même III s’il y a une intéraction)
modele_lineaire_petale

Call:
lm(formula = Petal.Width ~ Petal.Length, data = iris)

Coefficients:
 (Intercept)  Petal.Length  
     -0.3631        0.4158  
summary(modele_lineaire_petale)

Call:
lm(formula = Petal.Width ~ Petal.Length, data = iris)

Residuals:
     Min       1Q   Median       3Q      Max 
-0.56515 -0.12358 -0.01898  0.13288  0.64272 

Coefficients:
              Estimate Std. Error t value Pr(>|t|)    
(Intercept)  -0.363076   0.039762  -9.131  4.7e-16 ***
Petal.Length  0.415755   0.009582  43.387  < 2e-16 ***
---
Signif. codes:  0 '***' 0.001 '**' 0.01 '*' 0.05 '.' 0.1 ' ' 1

Residual standard error: 0.2065 on 148 degrees of freedom
Multiple R-squared:  0.9271,    Adjusted R-squared:  0.9266 
F-statistic:  1882 on 1 and 148 DF,  p-value: < 2.2e-16
anova(modele_lineaire_petale)
Analysis of Variance Table

Response: Petal.Width
              Df Sum Sq Mean Sq F value    Pr(>F)    
Petal.Length   1  80.26  80.260  1882.5 < 2.2e-16 ***
Residuals    148   6.31   0.043                      
---
Signif. codes:  0 '***' 0.001 '**' 0.01 '*' 0.05 '.' 0.1 ' ' 1
car::Anova(modele_lineaire_petale)
Anova Table (Type II tests)

Response: Petal.Width
             Sum Sq  Df F value    Pr(>F)    
Petal.Length  80.26   1  1882.5 < 2.2e-16 ***
Residuals      6.31 148                      
---
Signif. codes:  0 '***' 0.001 '**' 0.01 '*' 0.05 '.' 0.1 ' ' 1

Pour voir la différence entre les deux anova il faut ajouter des variables.

La sortie summary() nous dit que le modèle est significatif (p-value: < 2.2e-16) mais il faut vérifier qu’il est valide.

4ème étape : Validation du modèle

Le modèle est accepté si les résidus suivent une loi normale.

modele_lineaire_petale$residuals |> 
  shapiro.test()

    Shapiro-Wilk normality test

data:  modele_lineaire_petale$residuals
W = 0.98378, p-value = 0.07504

Les résidus suivent une loi normale (p-valeur > 0.05 -> impossible de rejeter l’hypothèse nulle selon laquelle les données suivent une loi normale).

Il est aussi bien de visualiser le modèle grâce à la fonction plot().

plot(modele_lineaire_petale)

La courbe rouge doit être la plus proche de la droite en pointillée

Les points doivent suivre la première diagonale en pointillée

La courbe rouge doit être la plus plate possible

La courbe rouge doit être proche de la droite horizontale en pointillée

5ème étape : Réalisation d’un graphique résumé

Le nuage de points avec une droite est la meilleur représentation.
La droite peut-être réalisé grâce à la fonction geom_abline() du package {ggplot2} et les paramètres du modèle linéaire ajusté (modele_lineaire_petale) ou automatiquement avec la fonction geom_smooth() du même package en précisant l’argument method = "lm".
L’équation est affiché sur le graphique grâce à la fonction stat_regline_equation() du package {ggpubr}.

ggplot(iris) +
  aes(x = Petal.Length, y = Petal.Width) +
  geom_point() +
  geom_abline(
    slope = modele_lineaire_petale$coefficients[[2]],
    intercept = modele_lineaire_petale$coefficients[[1]],
    color = "red",
    linewidth = 2
  ) +
  geom_smooth(method = "lm") +
  ggpubr::stat_regline_equation() +
  theme_classic()
`geom_smooth()` using formula = 'y ~ x'

Back to top